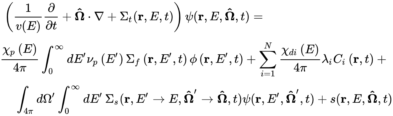
The neutron transport equation is a balance statement that conserves neutrons. Each term represents a gain or a loss of a neutron, and the balance, in essence, claims that neutrons gained equals neutrons lost.
One of the many equations from NNPS that I've forgotten. I do remember that I only missed 1 question on the RP final, so I must have known then right?
Brush up on your neutron transport theory on Google over your favorite beverage in your neutron transport coffee mug, steel pint glass or stainless steel tumbler while wearing your neutron transport or It Gets Better After Orse socks.

